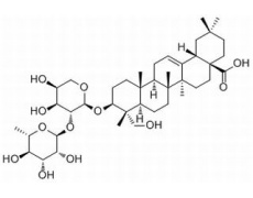
【中文名】:α-常春藤皂苷
【英文名】:α-hederin
【別 名】:a-常春藤皂苷; 常春藤皂甙; SAPINDOSIDE A; HEDERIN; Alpha-常春藤皂苷;;taurosidee; nepalin2; Alpha-hederin; A-HEDERIN; koronaroside A; dipsacobioside; sapindosidea; akebosidestc; Hederoside B; α-HEDERIN; hederosidec; g
【 C A S 】:27013-91-8
【分子式】:C41H66O12
【分子量】:750.965
【熔 點(diǎn)】:214-216 256-259℃
【沸 點(diǎn)】:849.6℃ at 760 mmHg
【比旋光度】:+16.5 (c, 4.85 in MeOH)
【儲(chǔ)存條件】:2-8℃
【來(lái) 源】:冠狀銀蓮花
【閃 點(diǎn)】:250.7℃
【外 觀】:白色粉末
購(gòu)物車(chē)
幫助
021-54845833/15800441009
