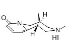
【中文名】:N-甲基金雀花堿氫碘酸鹽
【英文名】:Caulophylline hydriodide
【別 名】:3,4,5,6-hexahydro-1r,5c-methano-pyrido[1,2-a][1,5]diazocin-8-on,Hydroiodid;
【 C A S 】:20013-22-3
【分子式】:C12H17IN2O
【分子量】:332.181
【沸 點(diǎn)】:408.9℃ at 760 mmHg
【儲(chǔ)存條件】:2-8℃
【來 源】:金雀花
【閃 點(diǎn)】:201.1℃
購物車
幫助
021-54845833/15800441009
