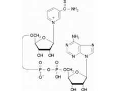
中文名稱 : 硫代-NAD
其他中文名稱 : 硫代氧化型輔酶I;硫代輔酶;還原煙酰胺次黃嘌呤二核苷酸
英文名稱 : Thio-NAD
其他英文名稱 : Thionicotinamide adenine dinucleotide;Thionicotinamide-DPN;denosine 5'-(trihydrogen diphosphate),;5'->5'-ester with 3-(aminothioxomethyl)-1-beta-D-ribofuranosylpyridinium-ate
C A S : 4090-29-3
C21H27N7O13SP2= 679.49
級(jí) 別 : BR
含 量 : ≥90.0%
水 分 : ≤10.0%
性 狀 : 淡黃色或黃綠色粉末,溶于水:50mg/ml,溶液呈清澈黃色至暗黃綠色。
用 途 : 生化研究。診斷試劑原料
保 存 : -20℃
購(gòu)物車
幫助
021-54845833/15800441009
