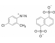
中文名稱 : 固紅-萘磺酸TR
其他中文名稱 : 固紅TR;快紅;固紅;快紅TR;4-氯-2-甲基重氮苯 1,5-萘二磺酸鹽;鹽酸-4-氯-2-甲苯胺;4-氯鄰甲苯胺鹽酸鹽;耐曬紅TR鹽;固紅TR重氮鹽
英文名稱 : Fast red TR
其他英文名稱 : Fast Red TR Salt 1,5-naphthalenedisulfonate salt;4-Chloro-2-methylbenzenediazonium 1,5-naphthalenedisulphonate;Azoic Diazo No. 11;C.I. 37085
C A S : 51503-28-7
C17H13O6N2O6S2Cl=440.88
級(jí) 別 : High purity grade
含 量 : ≥95.0%
溶解性(2.5%, Water) : 合格
溶解性(0.6%, Water) : 合格
吸光度A405nm (0.033%, Water) : ≤0.02
性 狀 : 類白色或淺黃褐色粉末
用 途 : 生化研究。生物染色
保 存 : -20℃
購物車
幫助
021-54845833/15800441009
