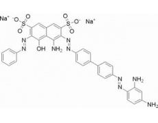
中文名稱 : 直接黑BN
其他中文名稱 : 直接黑EX;直接青光元;直接元;直接元青;氯唑黑;卡拉唑黑E;酸性綠光直接黑;直接黑38
英文名稱 : Direct Black 38
其他英文名稱 : Chlorazol Black E;Disodium 4-amino-3-[[4'-[(2,4-diaminophenyl)azo][1,1'-biphenyl]-4-yl]azo]-5-hydroxy-6-(phenylazo)naphthalene-2,7-disulphonate
C A S : 1937-37-7
C34H25N9Na2O7S2=781.73
級 別 : BR
含 量 : ≥70.0%
Elemental analysis(Nitrogen) : ≥8.0%
性 狀 : 深褐色或黑色粉末,溶于水
用 途 : 生化研究。
保 存 : RT
購物車
幫助
021-54845833/15800441009
