其他中文名稱 : 酸性鉻蘭K;4,5-二羥基-3-[(2-羥基-5-苯磺酸鈉)偶氮]-2,7-萘二磺酸鈉;1,8-二羥基-(2-羥基-5-磺酸鈉-1-偶氮苯)-3,6-二磺酸鈉;酸性媒介藍K;7-(2-羥基-5-磺基苯偶氮)變色酸鈉鹽;7-(鄰羥基苯-5-磺酸鈉偶氮)-1,8-二羥基萘-3,6-二磺酸鈉;鄰氨基酚一對一磺酸鈉偶氮-1,8-二羧酸鈉-3,6-二磺酸鈉;4,5-二羥基-3-[(2-羥基-5-苯磺酸鈉)偶氮]-2,7-萘二磺酸鈉
英文名稱 : Chrome Blue K
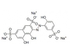
其他英文名稱 : C.I. 16675;Acid Chrome Blue K;4,5-Dihydroxy-3-[(2-hydroxy-5-sulfophenyl)azo]-2,7-naphthalenedisulfonic acid trisodium salt
C A S : 3270-25-5
C16H9N2Na3O12S3=586.41
級 別 : 絡合指示劑
水溶解試驗 : 合格
靈敏度試驗 : 合格
灼燒殘渣(以硫酸鹽計) : ≤45.0%
性 狀 : 棕紅色或暗紅色粉末。溶于水和乙醇,水溶液呈玫瑰紅色,在堿性溶液中呈灰藍色
用 途 : 生化研究。絡合指示劑。用以測定鈣、鉻、鎂、錳、鉛和鋅等。廣泛應用于冶金分析、土壤分析、植株分析等。
保 存 : RT
購物車
幫助
021-54845833/15800441009
