中文名稱 : 誘惑紅
其他中文名稱 : 6-羥基-5-[(2-甲氧基-5-甲基-4-磺本基)偶氮]2-萘磺酸二鈉鹽;誘惑紅AC;食品紅17;大紅貝司RC;顯色基艷紅RB;咖喱紅;紅 40 [CI 16035];C.I.冰染重氮組分13
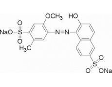
英文名稱 : Allura Red AC
其他英文名稱 : Disodium 6-hydroxy-5-[(2-methoxy-4-sulphonato-m-tolyl)azo]naphthalene-2-sulphonate
C A S : 25956-17-6
C18H14N2Na2O8S2=496.42
級 別 : AR
含 量 : ≥85.0%
λmax : 497~501nm(0.02 mol/L醋酸銨溶液)
干燥減量、氯化物及硫酸鹽總量 : ≤0.2 %
水中不溶物 : ≤0.2 %
砷 : ≤0.0001%
鉛 : ≤0.001%
低磺化副染料 : ≤1.0 %
重金屬(以Pb計) : ≤0.002%
性 狀 : 橙色或紅色至紫紅色粉末。
用 途 : 生化研究。
保 存 : RT
購物車
幫助
021-54845833/15800441009
