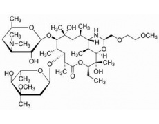
中文名稱 : 地紅霉素
其他中文名稱 : [9S(R)]-9-脫氧-11-脫氧-9,11-[亞胺基[2-(2-甲氧基乙氧基)乙叉基]氧基]紅霉素
英文名稱 : Dirithromycin
其他英文名稱 : Dirithomycin;LY-237216
C A S : 62013-04-1
級 別 : High purity grade
C42H78N2O14=835.07
含 量 : ≥96%
性 狀 : 白色或類白色結晶性粉末,以紅霉素為原料合成得到的最新一代大環(huán)內酯類抗生素。無臭,味苦,熔點為95~100℃。不溶于水
用 途 : 生化研究。
保 存 : 2~8℃
購物車
幫助
021-54845833/15800441009
