中文名稱 : 司班80
其他中文名稱 : 司盤80;油酸山梨醇酯;清涼茶醇油酸酯;油酸清涼茶醇;山梨糖醇酐單油酸酯;失水山梨醇單油酸酯;乳化劑S-80;斯盤80;(Z)-單-9-十八烯酸脫水山梨醇酯
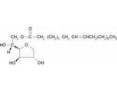
英文名稱 : Span 80
其他英文名稱 : Sorbitan monooleate
C A S : 1338-43-8
C24H44O6=428.61
級 別 : CP
酸 值 : ≤8KOHmg/g
皂化值 : 145~160KOHmg/g
重金屬 : ≤0.001%
灼燒殘渣 : ≤0.5%
級 別 : 色固
性 狀 : 黃至琥珀色黏性油狀液體。有脂肪氣味。溶于乙醇、異丙醇、礦物油、植物油,不溶于水和丙二醇。相對密度 (d204)1.00~1.05。熔點 10~12℃。親水親油值(HLB)4.3。黏度約1000mPa·s(25℃)。閃點 210℃
用 途 : 生化研究。非離子型表面活性劑。水/油型乳化劑。氣相色譜固定液(最高使用溫度150℃,溶劑為甲醇),分離分析含氧化合物。穩(wěn)定劑。
保 存 : RT
購物車
幫助
021-54845833/15800441009
