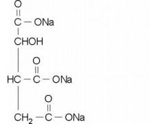
中文名稱 : DL-異檸檬酸三鈉鹽
其他中文名稱 : DL-異檸檬酸鈉;DL-異構(gòu)櫞酸三鈉鹽;1-羥基丙烷-1,2,3-三甲酸三鈉鹽
英文名稱 : DL-Isocitric acid trisodium salt
其他英文名稱 : Isocitric acid trisodium salt;Trisodium 1-hydroxypropane-1,2,3-tricarboxylate
C A S : 1637-73-6
C6H5Na3O7=258.07
級(jí) 別 : BR
含 量 : ≥93.0%
水 分 : ≤20.0%
Sodium by ICP : 25.0~28.3%
性 狀 : 白色或類白色粉末,有吸濕性。易溶于水。水溶解性:100mg/ml
用 途 : 生化研究。異檸檬酸脫氫酶底物
保 存 : RT,避光
購物車
幫助
021-54845833/15800441009
