中文名稱(chēng) : 羥丙基-β-環(huán)糊精
其他中文名稱(chēng) : 羥丙基倍他環(huán)糊精;2-羥丙基-β-環(huán)糊精
英文名稱(chēng) : HPBCD
其他英文名稱(chēng) : HPCD; (2-Hydroxypropyl)-β-cyclodextrin;Hydroxypropyl-beta-cyclodextrin ;HP-β-CD;beta-Cyclodextrin 2-hydroxypropyl ethers
C A S : 128446-35-5或94035-02-6
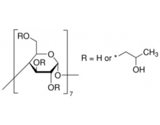
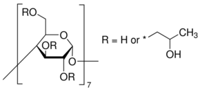
分子式 : C42(H)70-nO35(C3H7)n
級(jí) 別 : High purity grade
含 量 : ≥98.0%
比旋光度 : +128o~+145o
P H : 5.0~8.0
重金屬 : <10ppm
性 狀 : 白色粉末。溶于水、甲醇、氯仿、DMSO,溶解度:>75g/100ml
用 途 : 生化研究
保 存 : RT
購(gòu)物車(chē)
幫助
021-54845833/15800441009
