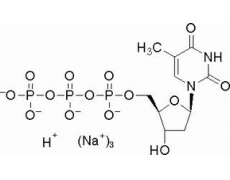
中文名稱 : 三磷酸脫氧胸苷鈉鹽
其他中文名稱 : 2′-脫氧胸苷-5′-三磷酸三鈉鹽
英文名稱 : dTTP,3Na
其他英文名稱 : TTP;2′-Deoxythymidine-5′-triphosphate trisodium salt dihydrate
C A S : 18423-43-3
C10H13N2O14P3Na3?2H2O=583.12
級 別 : Ultra Pure Grade
含 量 : ≥98.0%(HPLC)
A250/A260=0.65±0.03
A280/A260=0.73±0.03
濃 度 : 100mM
P H : 7.0±0.1
性 狀 : 清澈無色液體,λmax:267±2nm
性 狀 : 白色或類白色粉末。Em(267nm,phosphate buffer,pH7.0):>9200
用 途 : 生化研究
保 存 : -20℃
購物車
幫助
021-54845833/15800441009
