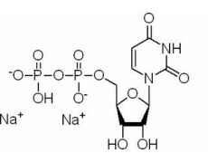
中文名稱 : 尿苷-5′-二磷酸二鈉鹽
其他中文名稱 : 5-尿苷二磷酸二鈉鹽;5-尿嘧啶核苷二磷酸鈉鹽;焦磷酸尿苷鈉鹽
英文名稱 : 5′-UDP,2NA
其他英文名稱 : Uridine 5'-diphosphate disodium salt hydrate
C A S : 27821-45-0
C9H12N2Na2O12P2?xH2O= 448.12
級 別 : Ultra Pure Grade
含 量 : ≥98.0%(HPLC)
干燥失重 : ≤0.2%
重金屬 : ≤10ppm
性 狀 : 白色或類白色粉末
用 途 : 生化研究
保 存 : -20℃
購物車
幫助
021-54845833/15800441009
