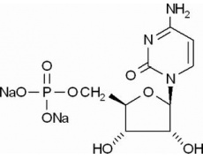
中文名稱 : 胞苷-5′-單磷酸二鈉鹽
其他中文名稱 : 5-胞苷一磷酸二鈉鹽;胞啶-5'-單磷酸二鈉鹽;5'-磷酸胞嘧啶核苷二鈉;可尼定-5'-單磷酸鹽二鈉;5ˊ-一磷酸胞啶二鈉鹽;5ˊ-一磷酸胞苷二鈉鹽;胞苷酸鈉;胞嘧啶核糖5ˊ-一磷酸二鈉鹽
英文名稱 : 5′-CMP,2Na
其他英文名稱 : Cytidine 5′-monophosphate disodium salt;C-5′-P
C A S : 6757-06-8
C9H12N3O8PNa2=367.16
級 別 : High purity grade
含 量 : ≥98.0%
性 狀 : 白色或類白色結晶粉末
用 途 : 生化研究
保 存 : 2~8℃
購物車
幫助
021-54845833/15800441009
