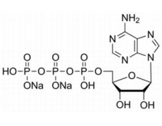
其他中文名稱 : 5-腺苷三磷酸二鈉鹽;腺苷-5'-三磷酸二鈉鹽;ATP二鈉
英文名稱 : 5'-ATP,Na2
其他英文名稱 : Adenosine 5′-triphosphate disodium salt;ATP disodium salt
C A S : 987-65-5
C10H14N5Na2O13P3=551.14
級 別 : High purity grade
含 量 : ≥98.0%
P H : 2.5~3.5
溶液澄清度 : 澄清無色
水 分 : 6.0~12.0%
氯化物 : ≤0.05%
鐵 鹽 : ≤0.001%
重金屬 : ≤0.00001%
C A S : 34369-07-8
C10H14N5Na2O13P3?3H2O=605.24
級 別 : Ultra Pure Grade
A250/A260 : 0.75~0.81
A280/A260 : 0.14~0.18
Em (259nm,Phosphate Buffer,pH 7.0) : >14700
重金屬 : ≤0.003%
級 別 : Ultra Pure Grade
含 量 : ≥98.0%(HPLC)濃度100mM
pKa : 4.0(amino group);6.5(secondary phosphate)
Lmax : 259nm
Extinction coefficient : EmM=15.4(259 nm in 100mM phosphate buffer,pH7.0)
性 狀 : 液體
性 狀 : 白色或類白色粉末,無臭無味,有引濕性。熔點188-190℃
用 途 : 生化研究。P2 嘌呤能激動劑;增加Ca2+-激活的K+ 通道的活性;ATP依賴酶系統(tǒng)的底物
保 存 : -20℃
購物車
幫助
021-54845833/15800441009
