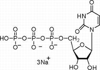
中文名稱 : 5-尿苷三磷酸三鈉鹽
其他中文名稱 : 尿苷-5′-三磷酸三鈉鹽;5-尿嘧啶核苷三磷酸鈉鹽
英文名稱 : 5′-UTP,3Na
其他英文名稱 : Uridine 5′-triphosphate trisodium salt hydrate
C A S : 19817-92-6
C9H12N2Na3O15P3·xH2O=550.09
級 別 : High purity grade
純 度 : ≥98.0%(HPLC)
A250/A260=0.70~0.80
A280/A260=0.33~0.43
干燥失重 : ≤15.0%
重金屬 : ≤20ppm
氯化物 : ≤0.2%
含 量 : ≥98.0%(HPLC)
濃 度 : 100mM
P H : 7.0
性 狀 : 液體
性 狀 : 白色或類白色粉末,無臭無味,有引濕性,在水中易溶,在乙醇、乙醚或氯仿中極微溶解
用 途 : 生化研究。
保 存 : -20℃
購物車
幫助
021-54845833/15800441009
