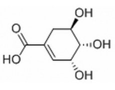
中文名稱 : 莽草酸
其他中文名稱 : 3,4,5-三羥基-1-環(huán)己烯-1-甲酸;-(-)莽草酸;3α,4α,5β-三羥基環(huán)已烯羧酸;蟒草酸;卡瓦根提取物
英文名稱 : Shikimic acid
其他英文名稱 : (3R,4S,5R)-(-)-3,4,5-Trihydroxy-1-cyclohexenecarboxylic acid;3,4,5-Trihydroxy-1-cyclohexene-1-carboxylic acid
C A S : 138-59-0
C7H10O5=174.15
級 別 : BR
含 量 : ≥98.0%
重金屬 : ≤10PPM
農 殘 : 無
熔 點 : 185~191℃
比旋光度 : -165~-185o
級 別 : 分析標準品
含 量 : ≥98.0%(HPLC)
性 狀 : 白色或淺灰色粉末 水中溶解度:18 g/100 mL 水(20℃)、2.25g/100ml無水乙醇、0.015g/100ml 無水乙醚,實際上不溶于氯仿、苯和石油醚。
用 途 : 生化研究。
保 存 : RT
購物車
幫助
021-54845833/15800441009
