中文名稱 : 天狼星玫紅BB
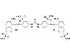
其他中文名稱 : 天狼星紅BB;5,5’-[羥基雙[亞氨(2-磺基-4,1-亞苯基)偶氮]]雙(6-氨基-4-羥基)-2-萘磺酸四鈉;直接紅2B;直接紅75;氯唑耐曬桃紅;天狼猩紅BB
英文名稱 : Sirius Rose BB
其他英文名稱 : Chlorazol Fast Pink;Direct Red 75 tetrasodium salt;Tetrasodium 5,5'-[carbonylbis[imino(2-sulphonato-4,1-phenylene)azo]]bis(6-amino-4-hydroxynaphthalene-2-sulphonate)
C A S : 2829-43-8
C33H22N8Na4O15S4=990.79
級(jí) 別 : AR
有效分光含量Dye content:≥30.0%
性 狀 : 紅色至紅棕色粉末
用 途 : 生化研究。
保 存 : RT,避光
購物車
幫助
021-54845833/15800441009
