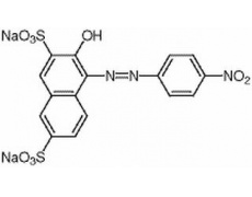
中文名稱 : β-萘酚紫
其他中文名稱 : 4-[[4-(苯甲酰氨基)-2-甲氧基-5-甲基苯基]偶氮]-3-羥基-N-苯基-2-萘甲酰胺
英文名稱 : β-Naphthol Violet
C A S : 7143-21-7
C16H9N3Na2O9S2=497.37
級 別 : GR
Lambda max : 508~511nm(H2O)
Absorbance(E1%1cm) : min. 520(5mg/L, H2O, 508~511nm)
Drying loss : ≤10.0%
Sensitiveness : Pass
性 狀 : 深紅色粉末
用 途 : 生化研究。
保 存 : RT
購物車
幫助
021-54845833/15800441009
