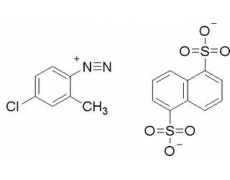
中文名稱 : 固紅片劑
其他中文名稱 : 固紅-萘磺酸TR片劑;快紅片劑;快紅TR片劑
英文名稱 : Fast red TR Tablets
其他英文名稱 : Fast Red TR Salt 1,5-naphthalenedisulfonate salt tablets
C A S : 51503-28-7
C17H13O6N2O6S2Cl=440.88
級(jí) 別 : High purity grade
含 量 : 5/100mg tablets
Abs.@Lambda Max A (2 tab/1L Water) : >1.4
Abs.@Lambda Max B (2 tab/1L Water) : >0.5
Solubility (1 tab/ 10mL Water) : Pass
性 狀 : 白色或淺黃褐色片劑
用 途 : 生化研究。生物染色
保 存 : 2~8℃
購(gòu)物車(chē)
幫助
021-54845833/15800441009
