其他中文名稱 : L-鼠李糖;甲基戊糖;L-異甜醇;L-(+)-鼠李糖;6-脫氧-L-苷露糖單水合物
英文名稱 : L(+)-Rhamnose monohydrate
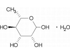
其他英文名稱 : 6-Deoxy-L(+)-mannose
C A S : 10030-85-0
C6H12O5?H2O=182.17
級 別 : High purity grade
含 量 : ≥98.0%
比旋光度 : +7.5o~+8.5o
熔 點 : 90~92℃
灼燒殘渣 : ≤0.15%
重金屬 : ≤5ppm
鈣 鹽 : ≤10ppm
性 狀 : 白色結(jié)晶性粉末,甘露糖6位的一個羥基被氫取代的衍生物,即6-脫氧-L-甘露糖 。能溶于水和甲醇,微溶于乙醇,其結(jié)晶呈兩種形式,α型和β 型。α 型含有一分子結(jié)晶水,加熱后失去結(jié)晶水,轉(zhuǎn)變?yōu)棣?型(分子量為164.16);β 型極易吸濕,在空氣中吸潮轉(zhuǎn)變?yōu)棣?型。常見的為α-L-鼠李糖,有甜味,在水溶液中以吡喃形式存在。有還原性,用溴水氧化生成鼠李酸,經(jīng)硝酸氧化生成L-阿拉伯三羥戈二酸。用鈉汞齊還原則得鼠李糖醇。其甜度為蔗糖的33%
用 途 : 生化研究。可用來測定腸道的滲透性,可用作甜味劑
保 存 : RT,避光
購物車
幫助
021-54845833/15800441009
