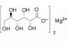
中文名稱 : 葡萄糖酸鎂鹽
其他中文名稱 : 葡萄糖酸鎂;D-葡萄糖酸鎂鹽
英文名稱 : Magnesium gluconate
其他英文名稱 : Magnesium D-gluconate;D-Gluconic acid magnesium salt
C A S : 3632-91-5
C12H22MgO14=414.60
級(jí) 別 : USP grade
含 量 : ≥98.0%
性 狀 : 白色顆粒或粉末,為無(wú)水物或兩者的混合物,無(wú)臭,易溶于水,微溶于乙醇,不溶于乙醚。閃點(diǎn):100℃
用 途 : 生化研究。
保 存 : RT
購(gòu)物車
幫助
021-54845833/15800441009
