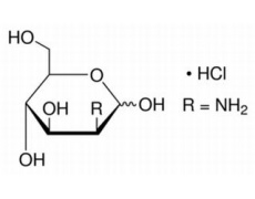
中文名稱 : D-甘露糖胺鹽酸鹽
其他中文名稱 : 鹽酸D-甘露糖胺;D-甘露糖氨鹽酸鹽;氨基甘露糖鹽酸鹽
英文名稱 : D-Mannosamine hydrochloride
其他英文名稱 : 2-Amino-2-deoxy-D-mannose hydrochloride
C A S : 5505-63-5
C6H13NO5?HCl=215.63
級 別 : BioChemika
含 量 : ≥98.0% (TLC)
熔 點 : 170~175℃
比旋光度 : ?3.7±0.5°(c=2% in H2O)
性 狀 : 白色或類白色粉末。水中溶解度:0.1 g/ml
用 途 : 生化研究
保 存 : RT
購物車
幫助
021-54845833/15800441009
