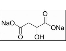
中文名稱 : 蘋果酸鈉
其他中文名稱 : DL-蘋果酸鈉;DL-羥基丁二酸二鈉;DL-林檎酸鈉
英文名稱 : Sodium DL-ma1ate
其他英文名稱 : Malic acid sodium salt;Disodium malate;DL-Disodium malate
C A S : 676-46-0
C4H4Na2O5=178.05
級 別 : CP
含 量 : ≥98.0%
干燥失重 : ≤12.0%
堿度(NaCO3) : ≤1.0%
游離酸 : ≤1.0%
重金屬 : ≤20mg/㎏
砷 鹽 : ≤3mg/㎏
性 狀 : 白色結晶性粉末或塊狀,無臭,略有刺激性。味咸,咸度約為食鹽的三分之一,有潮解性。加熱至130℃失去結晶水,易溶于水。水溶液對石蕊呈弱堿性
用 途 : 生化研究。緩沖劑、調味劑、代鹽劑。
保 存 : RT
購物車
幫助
021-54845833/15800441009
