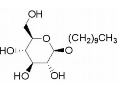
中文名稱 : 癸基吡喃葡萄糖苷
其他中文名稱 : N-癸基-β-D-吡喃葡萄糖苷;癸基喃葡萄糖;十烷基-β-D-吡喃葡萄糖苷
英文名稱 : Decyl-β-D-glucopyranoside
其他英文名稱 : N-Decyl-β-D-glucopyranoside;Decyl glucoside
C A S : 58846-77-8
C16H32O6=320.42
級(jí) 別 : BR
含 量 : ≥99.0%
比旋光度 : -27±1o(c = 1% in ethanol)
水醇溶解性Solubility (1 %; H2O, EtOH) : 無(wú)色透明
熱轉(zhuǎn)化Thermal transition : 130°C(isotropic)
熱轉(zhuǎn)化Thermal transition : 75.2 °C(smectic A)
正癸基-α-D-吡喃葡萄糖苷n-Decyl-α-D-glucoside : ≤0.01 %(HPLC)
性 狀 : 白色或白色中夾帶淡黃色粉末
用 途 : 生化研究。非離子型去垢劑(Non-ionic detergent),用于增加膜蛋白溶解性
保 存 : -20℃
購(gòu)物車
幫助
021-54845833/15800441009
