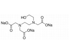
中文名稱 : N-羥乙基乙二胺-N,N′,N′-三乙酸三鈉
其他中文名稱 : 氨乙基乙醇胺三乙酸三鈉;N-羥乙基乙二胺三乙酸三鈉;N-(2-羥乙基)乙二胺三乙酸三鈉;N-(2-羥乙基)乙二胺-N,N',N'-三乙酸三鈉;羥乙基乙烯二胺三乙酸三鈉;N-二-羥乙基-亞乙基二胺三乙酸三鈉;N-[2-[雙(羧甲基)氨基]乙基]-N-(2-羥乙基)-甘氨酸三鈉鹽
英文名稱 : HEDTA-Na3
其他英文名稱 : N-(2-Hydroxyethyl)ethylenediamine-N,N′,N′-triacetic acid trisodium salt hydrate
C A S : 207386-87-6
C10H15N2Na3O7·xH2O=344.20 (anhydrous basis)
級 別 : BR
含 量 : ≥99.0%
熔 點 : 288℃
性 狀 : 白色結(jié)晶粉末
用 途 : 生化研究。
保 存 : RT
購物車
幫助
021-54845833/15800441009
