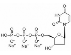
中文名稱 : 2'-脫氧尿嘧啶核苷-5'-三磷酸三鈉鹽
其他中文名稱 : 2′-脫氧尿苷-5′-三磷酸三鈉鹽
英文名稱 : dUTP,3Na
其他英文名稱 : 2′-Deoxyuridine-5′-triphosphate trisodium salt
C A S : 102814-08-4
C9H12N2Na3O14P3=534.09
級(jí) 別 : High purity grade
含 量 : ≥98.0%(HPLC)
級(jí) 別 : Biotechnology Grade
濃 度 : 100mM
性 狀 : 液體
性 狀 : 白色或類白色粉末
用 途 : 生化研究
保 存 : -20℃
購(gòu)物車
幫助
021-54845833/15800441009
