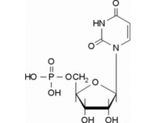
中文名稱(chēng) : 尿苷-5′-單磷酸
其他中文名稱(chēng) : 5-尿苷一磷酸;尿苷酸;尿苷5'-磷酸酯
英文名稱(chēng) : 5′-UMP
其他英文名稱(chēng) : Uridine 5′-monophosphate;U 5′-P;UMP;Uridylic acid
C A S : 58-97-9
C9H13N2O9P=324.18
級(jí) 別 : Ultra Pure Grade
含 量 : ≥98.0%
性 狀 : 白色或類(lèi)白色干粉
用 途 : 生化研究
保 存 : -20℃
購(gòu)物車(chē)
幫助
021-54845833/15800441009
