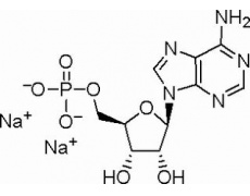
中文名稱 : 腺苷-5′-單磷酸二鈉
其他中文名稱 : 5-腺苷一磷酸二鈉鹽;5′-腺苷酸二鈉;5'-腺嘌呤核苷酸二鈉鹽;5'-腺嘌呤核甙酸二鈉鹽;5-磷酸腺苷二鈉鹽;單磷酸腺苷二鈉;一磷酸腺苷二鈉
英文名稱 : 5'-AMP,2Na
其他英文名稱 : Adenosine 5′-monophosphate disodium hexahydrate;Disodium adenosine 5'-phosphate
C A S : 4578-31-8
C10H12N5Na2O7P?6H2O=499.19
級(jí) 別 : Ultra Pure Grade
含 量 : ≥98.0%(HPLC)
A250/A260 : 0.79~0.90
A280/A260 : 0.18~0.22
Em (258nm, Phosphate Buffer, pH 7.0) : >11000
重金屬 : ≤0.002%
性 狀 : 白色結(jié)晶粉末
用 途 : 生化研究
保 存 : 2~8℃
購(gòu)物車
幫助
021-54845833/15800441009
